Iskanje
Napredno iskanje
Domov domov
www.zdravgozd.si
Skip Navigation LinksVarstvo gozdov / Napovedi o zdravju gozdov / Napoved

GIS Invazivke Boletus informaticus DanubeForestHealth LVG FB-VARGO
Kratki znanstveni prispevekNapovedi o zdravju gozdov, 2016 Natisni  PDF
DOI: 10.20315/NZG.26

Napoved ulova smrekovih lubadarjev (Ips typographus in Pityogenes chalcographus) v kontrolne feromonske pasti tipa Theysohn za leto 2016

Maarten de Groot1*, Marija Kolšek2 in Andreja Kavčič1

1Gozdarski inštitut Slovenije, Večna pot 2, 1000 Ljubljana; 2Zavod za Gozdove Slovenije, Večna pot 2, 1000 Ljubljana

*maarten.degroot@gozdis.si

Ključne besede: Ips typographus, Pityogenes chalcographus, prenamnožitev, navadna smreka, napoved, osmerozobi smrekov lubadar, šesterozobi smrekov lubadar, splošni linearni model

Uvod

Leta 2015 smo na celotnem območju Slovenije beležili prekomerno namnožitev podlubnikov, predvsem smrekovih lubadarjev, ki je bila po podatkih o poseku Zavoda za gozdove Slovenije rekordna. Tako obsežna namnožitev je bila posledica močnega in obsežnega žledoloma, ki je februarja 2014 prizadel velik del ozemlja Slovenije in v katerem so bila številna drevesa poškodovana ter s tem dovzetna za napad škodljivih organizmov. Poleg tega pa so na razmnoževanje lubadarjev ugodno vplivala tudi ponavljajoča se obdobja suše v zadnjih letih, ki je oslabila drevesa do te mere, da niso bila več sposobna učinkovite obrambe pred škodljivci.

V prihajajočem letu pričakujemo, da se bo prekomerna namnožitev podlubnikov nadaljevala, vendar je zaradi raznolikosti vplivov lokalnih biotičnih in abiotičnih dejavnikov na številčnost osebkov težko napovedati, kakšen bo v letu 2016 dejanski vpliv podlubnikov. Z različnimi modeli je mogoče bolj ali manj zanesljivo napovedati številčnosti osebkov v določenem okolju in oceniti verjetnost njihove prekomerne namnožitve, zato tovrstni modeli predstavljajo pomembno orodje pri upravljanju s škodljivimi organizmi. Z oceno številčnosti osebkov je mogoče predvideti tveganje, ki ga predstavlja lokalna populacija škodljivega organizma, ter pravočasno začeti z izvajanjem ukrepov za preprečevanje namnožitve osebkov oziroma ustreznih ukrepov ob prekomerni namnožitvi, tj. izbruhu.

Naš cilj je bil napovedati ulov osmerozobega smrekovega lubadarja - Ips typographus (Linnaeus, 1758) in šesterozobega smrekovega lubadarja - Pityogenes chalcographus (Linnaeus, 1761) v kontrolne feromonske pasti tipa Theysohn za začetek in sredino sezone 2016. Napovedi števila osebkov se nanašajo na posamezna gozdnogospodarska območja (GGO).

Metode

Za razvoj modela za napovedanje številčnosti I. typographus in P. chalcographus v letu 2016 smo uporabili podatke o ulovu hroščev, ki smo jih pridobili iz mreže kontrolnih feromonskih pasti tipa Theysohn, ki se rutinsko uporablja za spremljanje številčnosti podlubnikov v posamezni sezoni. Praznjenje pasti in merjenje ulova izvajajo gozdarji Zavoda za gozdove Slovenije (ZGS), za vsako past posebej, in sicer na 10–14 dni. Ob vsakem praznjenju pasti se izračuna število osebkov I. typographus in P. chalcographus, in sicer iz prostornine, ki jo hrošči zasedajo v merilni posodi: 1 ml hroščev I. typographus = 40 osebkov, 1 ml hroščev P. chalcographus = 600 osebkov. Podatki o ulovu se sproti beležijo v elektronski informacijski sistem Varstvo gozdov (Ogris, 2012).

Za izdelavo modela smo upoštevali pasti, ki so bile v uporabi v sezonah 2014 in 2015 ter so bile v posamezni sezoni spremljane najmanj do septembra (preglednica 1). Uporabili smo podatke o ulovu za celotno leto 2014 in 2015. Pasti so bile opremljene s feromonskimi vabami za vrsto I. typographus (Pheroprax ® (BASF) ali IT – Ecolure TUBUS Maxi ®(Fytofarm) in za vrsto P. chalcographus (Chalcoprax ® (BASF) ali PC – Ecolure TUBUS Maxi ®(Fytofarm). Skupaj je bilo za izdelavo modela upoštevanih 329 pasti.

Naš cilj je bil izdelati model, s katerim bi bilo mogoče napovedati število hroščev I. typographus in P. chalcographus ob koncu prve generacije (15. junij) in ob koncu druge generacije (15. avgust). Z uporabo splošnega linearnega modela (General Linear Model, GLM) na osnovi Poissonove porazdelitve smo ugotavljali korelacijo med številom hroščev in dnevom v letu ter pastjo in tudi interakcijo med dnevom v letu in pastjo (enačba 1).

Število hroščev = dan v letu * past id

Popravljeni R2 za modele za I. typographus za 2014 je bil 0,95 in za 2015 0,93. Popravljeni R2 za modele za P. chalcographus za 2014 je bil 0,93 in za 2015 0,94. Ker popravljeni R2 kaže na velik delež pojasnjene variance, to dokazuje kakovost modelov. Izračunali smo število hroščev na dan 15. junij in na dan 15. avgust za leti 2014 in 2015. Število hroščev za leto 2016 smo ocenili z uporabo enostavne linearne napovedi. Razlika v celokupnem ulovu med letoma 2014 in 2015 je bila prišteta ali odšteta od celokupnega ulova v letu 2015 (enačba 2). Pogledali smo, ali število hroščev presega prag izbruha, ki je določen na dan 15. junij na 9000 osebkov za I. typographus (RS, 2009) in 20.000 osebkov za P. chalcographus. Ker smo razvili modele za vsako past posebej, je modelov preveč, da bi jih prikazali tukaj. Vsi modeli so na voljo pri avtorjih.

Napovedano število hroščev za leto 2016 na past x na dan y = število hroščev za leto 2015 na past x na dan y + (število hroščev za leto 2015 na past x na dan y - število hroščev za leto 2014 na past x na dan y)

Preglednica 1: Uporabljano število pasti za izdelavo napovedi trenda številčnosti osmerozobega smrekovega lubadarja in sešterozobega smrekovega lubadarja.
GGO Število pasti Povprečno število praznjen na past Skupno število praznjen na past
Bled 35 14 497
Brežice 72 14 1038
Celje 67 15 1014
Kočevje 45 17 769
Kranj 10 15 146
Ljubljana 15 27 400
Maribor 29 20 566
Murska Sobota 20 19 378
Nazarje 77 16 1212
Novo mesto 54 19 1034
Postojna 25 24 607
Slovenj Gradec 7 12 83

Rezultati in diskusija

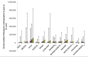
Glede na rezultate pričakujemo v letu 2016 veliko variabilnost v količini ulova osmerozobega smrekovega lubadarja in šesterozobega smrekovega lubadarja v kontrolne feromonske pasti tipa Theysohn med posameznimi GGO (slika 1, 2, 3 in 4). Na številčnost populacije, njeno naraščanje in upadanje, vpliva predvsem čas v sezoni in z njim povezane vrednosti abiotičnih in biotičnih dejavnikov v lokalnem okolju. Kljub temu glede na izdelano napoved pričakujemo podobno dinamiko številčnosti osebkov I. typographus (slika 1 in 2) in P. chalcographus (slika 3 in 4) v sezoni 2016 kot v 2015. Napovedi smo izdelali na ravni posameznih GGO. Napovedi številčnosti smrekovih lubadarjev nismo mogli izdelati za tri GGO, in sicer Sežana, Tolmin in Novo mesto, bodisi zato, ker ni bilo na voljo podatkov o ulovu (GGO Novo mesto za 2014), bodisi zato, ker pasti v letih 2014 in 2015 niso bile postavljene na istih mestih (GGO Sežana, GGO Tolmin).

Slika
Slika
Slika 1: Povprečno število (minimum, maksimum) osebkov Ips typographus na posamezno kontrolno feromonsko past na dan 15. junij za leta 2014 (modri stolpci), 2015 (rdeči stolpci) in 2016 (zeleni stolpci). Rezultati za posamezno leto vključujejo vse obravnavane GGO. Slika 2: Povprečno število (minimum, maksimum) osebkov Ips typographus na posamezno kontrolno feromonsko past na dan 15. avgust za leta 2014 (modri stolpci), 2015 (rdeči stolpci) in 2016 (zeleni stolpci). Rezultati za posamezno leto vključujejo vse obravnavane GGO.
Slika
Slika
Slika 3: Povprečno število (minimum, maksimum) osebkov Pityogenes chalcographus na posamezno past na dan 15. junij za leta 2014 (modri stolpci), 2015 (rdeči stolpci) in 2016 (zeleni stolpci). Rezultati za posamezno leto vključujejo vse obravnavane GGO. Slika 4: Povprečno število (minimum, maksimum) osebkov Pityogenes chalcographus na posamezno past na dan 15. avgust za leta 2014 (modri stolpci), 2015 (rdeči stolpci) in 2016 (zeleni stolpci). Rezultati za posamezno leto vključujejo vse obravnavane GGO.

V GGO Bled v prihajajoči sezoni pričakujemo povečano številčnost osebkov I. typographus glede na leti 2014 in 2015 tako za 15. junij kot za 15. avgust, vendar naj bi številčnost osebkov na dan 15. junij v več kot polovici vseh pasti ostala pod pragom 9.000 osebkov. Napoved za P. chalcographus kaže ohranjanje številčnosti populacije na dan 15. junij na nivoju preteklih dveh let in porast številčnosti na dan 15. avgust. Številčnost osebkov v posameznih pasteh na dan 15. avgust naj ne bi presegla 20.000 osebkov.

Napoved za GGO Brežice kaže, da bo populacija I. typographus v letu 2016 naraščala glede na pretekli dve leti tako na dan 15. junij kot tudi na dan 15. avgust, vendar številčnost osebkov ob koncu prve generacije (15. junij) naj ne bi presegla 9.000 osebkov na past. Izrazito naraščanje populacije glede na leti 2014 in 2015 se kaže tudi za vrsto P. chalcographus, in sicer tako za 15. junij kot tudi za 15. avgust, številčnost populacije pa naj bi 15. junija presegla 20.000 osebkov na past.

Za GGO Celje je je napovedano zmanjšanje številčnosti populacije hroščev I. typographus v primerjavi z letoma 2014 in 2015 za 15. junij. Za 15. avgust je napovedano povečanje številčnosti populacije. Ocenjena številčnost osebkov pa ob koncu prve generacije (15. junij) ne presega 9.000 osebkov na past. Razlika med trendi lahko pomeni, da je v 2015 prva generacija razvoj zaključila po 15. juniju. Nasprotno pa model za vrsto P. chalcographus za 15. junij in 15. avgust napoveduje naraščanje populacije in številčnost osebkov na posamezno past nad 20.000 ob koncu prve generacije (15. junij).

Za GGO Kočevje model napoveduje šibko povečanje številčnosti hroščev I. typographus v primerjavi s preteklima letoma tako za 15. junij kot tudi za 15. avgust, vendar pa ocenjena številčnost za oba datuma ostaja pod pragom 9.000 osebkov na past. Model napoveduje šibko povečanje številčnosti populacije tudi za P. chalcographus, številčnost osebkov v posamezni pasti pa naj bi 15. junija presegla prag 20.000 osebkov.

Za GGO Kranj, ki je bilo eno od najbolj prizadetih območij zaradi žledoloma leta 2014, model v prihajajoči sezoni napoveduje naraščanje populacije I. typographus glede na leti 2014 in 2015. Zlasti izrazito povečanje številčnosti hroščev model napoveduje za 15. avgust. Kljub tako izrazitemu povečanju števila osebkov, ki ga napoveduje model, pa ocenjena številčnost populacije ne presega praga 9.000 osebkov na past. Ker smo uporabili samo podatke iz 10 pasti, je mogoče, da nismo dobili reprezentativnih podatkov. Glede na pretekla leta naj bi narasla tudi številčnost osebkov P. chalcographus in sicer za oba datuma. Ocenjena številčnost populacije teh hroščev 15. junija 2016 presega 20.000 osebkov.

Podobno kot GGO Kranj je bilo v žledolomu leta 2014 zelo prizadeto tudi območje GGO Ljubljana in tudi tu model napoveduje rast številčnosti populacije v letu 2016. Glede na naš model bo številčnost hroščev I. typographus v primerjavi s preteklima letoma močno povečana tako 15. junija kot 15. avgusta, ob koncu prve generacije (15. junij) pa bo presegla prag 9.000 osebkov. Model napoveduje izrazito povečanje številčnosti populacije tudi za P. chalcographus, prav tako za oba datuma. Ocenjena številčnost hroščev P. chalcographus na posamezno past presega prag 20.000 osebkov.

Za GGO Maribor model napoveduje zmanjšanje številčnosti populacije I. typographus v letu 2016. Upad naj bi bil večji ob koncu prve generacije (15. junij), modelna številčnost ne presega prag 9.000 osebkov. Model napoveduje tudi ne izrazito zmanjšanje populacije P. chalcographus na oba datuma. Ocenjena številčnost hroščev na posamezno past presega prag 20.000 osebkov.

Model napoveduje tudi večje zmanjšanje številčnosti populacije I. typographus v severovzhodni GGO Murska Sobota, ki meji na GGO Maribor, in sicer na oba datuma. Modelna številčnost je veliko pod pragom 9.000 osebkov, model napoveduje celo negativno vrednost, kar nakazuje na zelo majhno številčnost. Tudi modelna številčnost P. chalcographus je v letu 2016 manjša od predhodnih let, tako ob koncu prve kot ob koncu druge generacije, vendar presega prag 20.000 osebkov na past.

Za GGO Nazarje model napoveduje manjše povečanje številčnosti populacije I. typographus in sicer na oba datuma. Modelna številčnost ne dosega praga 9.000 osebkov na past. Tudi modelna številčnost P. chalcographus je za leto 2016 večja od predhodnih let, tako ob koncu prve kot ob koncu druge generacije, vendar ne presega prag 20.000 osebkov na past.

Za GGO Novo mesto lahko napovedujemo le gibanje številčnosti prve generacije populacije I. typographus in P. chalcographus. Model nakazuje povečanje številčnosti populacij obeh podlubnikov, in sicer nad prag 9.000 osebkov oz. nad prag 20.000 osebkov na past. Modelne številčnosti druge generacije ni bilo mogoče izračunati zaradi nezadostnih podatkov o ulovu v času izdelave napovedi.

Za GGO Postojna, ki je bilo eno od najbolj prizadetih območij zaradi žledoloma iz leta 2014, model v prihajajoči sezoni napoveduje rahlo zmanjšanje številčnosti populacije I. typographus glede na leti 2014 in 2015 in to za oba datuma (15. junij in 15. avgust). Modelna številčnost populacije za leto 2016 ne presega praga 9.000 osebkov na past, kar bi glede na veliko poškodovanost gozdov po žledu v tem območju vsekakor pričakovali. Na modelno vrednost je verjetno vplivala pozicija pasti v višjih nadmorskih legah, kjer prva generacija ni zaključila razvoja do 15. junija (Ogris, 2014), zato je modelna vrednost podcenjena. Razlog za majhno modelno številčnost populacije je lahko tudi posledica manjšega ulova v pasti v letih 2014 in 2015 zaradi velikega števila poškodovanih dreves po žledu, ki so bili za podlubnike bolj privlačni od feromonskih pasti. Eden od razlogov je verjetno tudi izbor pasti za modelni izračun, zaradi katerega so lahko izpadle pasti z večjim ulovom. Glede na pretekla leta naj bi rahlo narasla tudi številčnost osebkov P. chalcographus in sicer za oba datuma. Modelna številčnost populacije teh hroščev ne presega 20.000 osebkov.

Napoved za GGO Slovenj Gradec kaže na rahlo povečanje številčnosti populacije I. typographus ob koncu razvoja prve generacije (15. junij), medtem ko povečanja ob koncu druge generacije (15. avgust) ne nakazuje. Številčnost osebkov naj ne bi presegla 9.000 osebkov na past za 15. junija. Za vrsto P. chalcographus model nakazuje zmanjšanje številčnosti populacije in sicer tako za 15. junij kot tudi za 15. avgust, številčnost populacije pa naj ne bi presegla 20.000 osebkov na past.

V slikah prikazani podatki številčnosti osebkov podlubnikov za leto 2016 so modelni podatki , ki so rezultat vhodnih podatkov in modelnega izračuna. Zaradi uporabe linearnega mešanega modela so rezultati napovedi lahko tudi negativni, vendar jih je treba razumeti kot zelo majhno napovedovano vrednost. V konkretnem primeru modelni izračun temelji le na podatkih o ulovi iz preteklih let (2014, 2015). Posebni dogodki, kot npr. poškodbe zaradi močnega vetra v tekočem letu, ki bi imeli lahko velik vpliv na ulov v feromonske pasti, v modelnem izračunu niso upoštevani. Zato je pomembno, da se poletni ulov v pasti upošteva pri napovedi gibanja populacij podlubnikov v tekočem letu (De Groot, 2014).

Zahvala

Zahvaljujemo se vsem gozdarjem ZGS, ki so v letih 2014 in 2015 redno vzdrževali kontrolne pasti za smrekove lubadarje in evidentirali ulov v program Varstva gozdov ter recenzentu za pripombe.

Viri

De Groot, M. 2014. Trendi in napovedi gostote populacij smrekovih podlubnikov po žledolomu 2014 v Sloveniji: stanje pomlad 2014. Napovedi o zdravju gozdov,

Ogris, N. 2012. Prognostične osnove za varstvo gozdov Slovenije. Ljubljana, Silva Slovenica: 104 str.

Ogris, N. 2014. Spremljanje ulova osmerozobega smrekovega lubadarja v kontrolnih pasteh v Sloveniji v 2014: ocena prenamnožitve populacije na ravni posamezne pasti. Napovedi o zdravju gozdov, 2014

RS. 2009. Pravilnik o varstvu gozdov. Uradni list RS, 114–5220/2009



Citiranje: Maarten de Groot, Marija Kolšek in Andreja Kavčič. 2016. Napoved ulova smrekovih lubadarjev (Ips typographus in Pityogenes chalcographus) v kontrolne feromonske pasti tipa Theysohn za leto 2016. Napovedi o zdravju gozdov, 2016. URL: https://www.zdravgozd.si/prognoze_zapis.aspx?idpor=26. DOI: 10.20315/NZG.26

Prispelo: 10. 05. 2016. Sprejeto: 23. 05. 2016. Objavljeno: 31. 05. 2016.

Št. ogledov: 494


Na vrh stranina vrh strani
Pogoji uporabe    Piškotki    Kazalo    Skrbnik strani